
筛分是利用筛网将物料分离的操作。换句话说,就是将混合物分离成通过筛网的细颗粒和不能通过筛网的粗颗粒。它是物料粒径分级的基本操作方法之一。在肥料领域,出于以下原因,往往在施用前将肥料制作成一定粒径的颗粒......
筛分是利用筛网将物料分离的操作。换句话说,就是将混合物分离成通过筛网的细颗粒和不能通过筛网的粗颗粒。它是物料粒径分级的基本操作方法之一。
在肥料领域,出于以下原因,往往在施用前将肥料制作成一定粒径的颗粒:调整肥料成分,供应不同类型作物及不同生长阶段所需养分,配合机械施肥,防止施肥过程中粉尘飞散,改善肥料性能和延长肥效,防止储存过程中因吸湿和重压而凝固。造粒后,为了分离和除去过大\过小粒径颗粒,并将符合规格的肥料颗粒作为产品装运,筛分过程必不可少。
一.筛选原理
颗粒筛分是颗粒通过一定网孔大小的筛网进行分级的过程。留在筛上的大颗粒称为筛上颗粒,通过筛子落到筛下的小颗粒称为筛下颗粒。物料被筛分成两组,每组具有不同的粒径。通过将n个不同孔径筛网重叠组合,可以将物料分成n+1组分料。
1.筛子孔径
筛孔尺寸由国际标准化组织(ISO)和日本工业标准(JIS)确定。单位以目数(mesh)表示。目数表示在1平方英寸(长宽各25.4mm)范围内包含多少网格,100目表示在1平方英寸正方形范围内有100个网格(图1)。
图1.筛网的目数、筛孔孔径及开口率的关系

筛网目数越高,筛孔越小。筛网网孔a、筛丝径d和开口率ε之间的关系如下式所示。

在日本,除特殊情况外,大多数肥料颗粒的粒径应为2~4毫米(美国为2~5毫米)。表1汇总了筛网的目数、筛孔径、网丝直径以及与此相关开口率的参考值。
表1.化肥中常用标准筛JIS标准及其参考特性值

2.颗粒通过筛孔的概率
常用化肥筛网是由铁丝编织成的正方形孔。如图2所示,筛丝直径为d,筛孔为a,对角线的长度为D=√2a。如果颗粒为近球形,则直径为b,理论上只有小于网孔a的颗粒才能通过筛网,但对于椭圆、圆柱或棒状的颗粒,其短径小于网孔对角线D的颗粒,即b√2a,也能通过筛子。
图2:网孔直径与颗粒大小的关系图3.颗粒能顺利通过筛孔的程度

假设筛分过程中颗粒垂直落在筛上,颗粒中心必须落在虚线所示的范围(a-b)2内,才能使球形颗粒无阻力地通过网眼(图3)。如果粒子落在这个范围之外,即使粒子中心落在网眼的范围内(a+d)2,也会与铁丝相撞,被弹开,无法通过网眼。根据概率论,随机落下的球形粒子通过网格的概率为P=(a-b)2/(a+d)2
根据上述公式,当筛网孔径(a)较大,线直径d和颗粒直径b较小时,颗粒通过网眼的概率变得更高。表2展示了具有不同粒度(b)的球形颗粒通过筛网的概率P,其中线直径(d)与筛网直径(a)的比率设定为0.25和0.5,表中展示单次下落和重复连续下落10次的概率。
表2.不同大小颗粒(b)通过网丝直径(d)和孔径(a)的筛子的概率(P)

如表2所示,当颗粒落到筛上的次数增加时,通过该网孔的概率就会增加。此外,粒径越小,通过筛孔越容易,通过的几率越高。在实际的筛分过程中,像振动或旋转筛一样,使颗粒在筛子上不断翻动,提高通过筛孔的概率P,对于提高分离效率和生产效率是非常有效的。此外,如表2所示,粒径b与筛孔径a的比值在0.7以内的颗粒可以通过网孔,而b/a比值在0.8以上的颗粒,即使经过25次,通过网孔的概率也小于50%,属于通过网孔概率低、难以通过筛子的颗粒。
图4.筛面倾斜角度与筛孔的关系

筛分作业中,筛面很少水平安装,一般具有一定的倾斜角,此种状态下筛孔实际长度为其投影面a'=acosα,如图4所示,这进一步降低颗粒通过筛网的概率。当颗粒形状为方形、圆柱形或除球形外的其他不规则形状时,颗粒通过网格的概率也会进一步降低。
由于编织筛子的铁丝的直径原因,筛子的网孔不能无限小。据悉,筛分极限时的颗粒直径约为3μm,而能有效分级的颗粒直径在100μm以上,细小颗粒的筛分则利用空气或水等流体的重力、离心力或惯性进行分级。
3.筛分的分离效率与筛子长度、面积、筛孔尺寸、运动的关系
3-1.筛分机的分离效率
评价筛分机筛分性能最常用的方法有以下3种:
1)特定粒度或更小粒度的颗粒回收率;
2)牛顿效率(newton效率);
3)部分筛分效率;
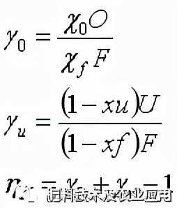
某一特定粒径以下颗粒的回收率是指筛分回收物料的重量与物体中含有的该粒径以下颗粒的重量之比(相对于设计筛孔尺寸)。计算公式

ȠS:特定粒径以下颗粒的回收率,m0:目标物料中小于筛孔尺寸颗粒重量,m:筛下回收物料的重量
如表2所示,即使当颗粒尺寸小于筛孔尺寸时,粒径接近筛孔尺寸的颗粒也不能通过100%筛,因此ȠS总是小于100%。

ȠN:牛顿效率,F:物体重量(kg),O:筛上物料重量(kg),U:筛下物料重量(kg),xf:物体中粗颗粒的比例(%),x0:筛上物料中粗颗粒的比例(%),xu:筛下物料中细颗粒的比例(%)
牛顿效率作为评价分级设备(包括筛分机)筛分性能的指标而被广泛应用。
部分筛分效率是指通过对粒径进行分级,对各粒径颗粒的收集效率。它是指通过测量筛分后进入筛上和筛下的各粒度区的颗粒,被筛分机分离的颗粒数与各粒度范围内特定粒度的颗粒数之比。这个计算公式是

将结果绘制在图上,得到部分筛分效率曲线,该曲线显示了各粒径范围内颗粒的筛分状态。部分分筛分率曲线主要用于评价气流分级设备的筛分性能。
3-2.筛分精度
固体混合物的筛分状态以筛孔尺寸为界。如果所有小于筛孔尺寸的颗粒都被分离到筛下,而留在筛上的都是大于筛孔尺寸的颗粒,则筛分精度为1,但实际上不可能完全分离,筛上总有少量的小颗粒,特别是粒径b与筛孔尺寸a之比(b/a)在0.8以上的难筛颗粒。因此为了提高筛分生产效率,必须在一定程度上牺牲筛分精度。
3-3.筛网
筛网是筛分机中用以筛分物体的部分。筛网的形状、材质和孔经由筛分目标物料的种类、粒度及分筛工作的要求决定。筛网的形状最常见为长方形和圆形。此外,网的材质除了不锈钢、铜等金属外,还使用橡胶、尼龙等高分子材料。筛网的形状包括金属棒、冲压金属板、编织网、缝隙成形网等,其中不锈钢网和合成纤维网最为典型。
金属棒网适用于大块粗物体,冲孔金属板适用于中等粒度的物体,编织网适用于粒度小于10mm的小颗粒和粉末的筛分。狭缝网用于中小颗粒的脱水、脱泥工作。
3-4.开口率
开孔面积与筛面面积之比称为开口率。开口率与构成筛孔的网丝直径呈负相关关系,丝线直径越小,筛网开口率越大。此外,开口率越大,筛分生产效率和分离效率越高。然而,当网丝直径较小时,筛表面的强度降低并且使用寿命缩短,因此开口率最好保持在一定程度。
3-5.筛面长度
筛分设备的生产效率和分离效率与筛的宽度和长度有关。筛面宽度主要影响生产效率。宽度越宽,每小时装载的物料越多,筛分量也越大,生产效率也就越高。另一方面,筛面的长度与物体在筛上的驻留时间相关,筛面越长,物体的驻留时间越长,分离效率越高。然而,其效果不是无限制的。当物体在筛面上停留时间过长时,生产效率反而变差。在一项实验中,将筛面的长度均匀地分成6段,回收通过每段的筛下物,并将其总回收量确定100%。从各阶段回收率的结果来看,第一阶段通过筛网回收的筛下物最多,约占45%,通过筛网后续阶段的颗粒逐渐减少,第六阶段仅回收5%(图5)。即相对于筛孔直径小的颗粒一开始顺利通过筛子,但经过一定时间后,颗粒直径b与孔径a的比值b/a小于0.8的颗粒大部分通过,其余直径大的颗粒难以通过筛子,筛下物料量迅速减少。通常考虑分离效率和生产效率的平衡,筛面长度设计不应超过筛面宽度的2.5~3.0倍。
图5.筛面长度对过筛颗粒量的影响

3-6.筛孔尺寸
筛孔尺寸越大,颗粒越容易通过筛孔,单位筛孔面积的生产效率越高。通常情况下,在筛分2~4毫米的颗粒时,上筛筛孔孔经设置为4.75毫米或5.0毫米(4目或3.85目),下筛设置为2.0毫米(8.6目),混料中粒径为2~4毫米的颗粒几乎100%被回收。回收物料中粒径2~4毫米以外的颗粒的比例控制在10%以下。
3-7.筛孔形状
最常见的筛孔形状是正方形、矩形(toncap)和圆形。此外,还有菱形和六边形等形状。正方形筛孔开口率大,筛分效率高,但当目标物粒度小,水分多时,网眼四个边角附近容易发生细颗粒聚集和附着,堵塞网眼状况时有发生。正方形网格的开口率:

ε:开口率(%),a:筛孔孔经,d:网丝直径
矩形筛孔具有最大的开口率和小的颗粒直径,并且对于具有少量片状颗粒的物体具有高的筛分效率。通常,矩形筛孔的长边与物体在筛面上的运动方向一致,但是在高水分物料中,如果筛孔的长边与颗粒在筛面上的运动方向交叉,则更有利于水和细颗粒的通过。矩形筛孔的开口率:

ε是开口率(%),a是长边长度,a‘是短边的长度,d是网丝直径
圆形网孔具有最小的开口率,但没有死角,因此适合于筛分具有小粒度和高水分的物体。
平行排列的圆形筛网开口率为:

交替排列(三角形排列)的圆形筛网开口率:

r是筛孔直径,d是两个相邻筛孔的平均距离
3-8.筛面运动
在筛分中,目标物与筛面接触是先决条件。也就是说,物体和筛网之间需要相对运动。物体与筛面的相对运动分为下落运动和滚动运动。颗粒仅在从进料器下落到筛网的阶段是下落运动,但在此之后,根据筛网表面的运动状态,颗粒有下落运动或滚动运动之分。
下落运动是颗粒落在筛面后通过筛面的上下振动使颗粒弹起、落下,如此反复的运动,振动筛就是其代表。滚动运动是颗粒和筛面在平面上相对移动的运动,通过筛面的运动使颗粒在筛面上滚动,以回旋筛为代表。还有一种是下落运动和滚动运动相结合的,如旋振筛。
在实际生产中,颗粒的下落运动比滚动运动的筛分有更高的生产效率。原因是筛面的振动会使物体弹跳起来,分散成碎片,从而增加了颗粒过筛概率。另外,筛面的上下振动,使卡在筛网中的颗粒被振动释放出来,减少了堵塞现象。筛面的振动次数和振动幅度会影响颗粒的运动速度和通过概率。对于小颗粒来说,高振动频率和小振动幅度对筛分生产效率是有利的。筛分的最佳频率和幅度则取决于待筛分物料的物理性质、筛分粒度和筛分机选型,则这些必须通过实验来确定。
3-9.振动离析作用
当对颗粒混合物施加振动时,大颗粒向上移动,小颗粒向下移动,其间颗粒群体逐渐离析成上层粗颗粒层和下层细颗粒层。这种现象被称为离析作用。这是因为小颗粒振动期间经由大颗粒的间隙落下,从而聚集在物料下部,而大颗粒被推到上层。振动频率越高,离析作用越容易发生。
通过离析作用,将物料中接近筛孔尺寸粒径的颗粒引入筛面,这也成为提高筛分效率和生产效率的重要因素。振动筛是利用这种现象而开发的筛分机械。
二.筛分机
为了满足不同物料的物理性质、目标分离效率和生产效率,目前市面上的筛分机种类很多,五花八门。通常按筛面的运动样式分为固定筛、振动筛、旋转筛和旋振筛。
1.固定筛
框架上筛面固定而不移动。由于形状简单,成本低廉,所以自古以来就一直在使用。固定筛的筛面大致以30~45°倾斜角设置,物体通过重力从筛面自上而下滚动过程中,小颗粒通过网孔,大颗粒残留在筛上。物料分离效率小于60%,生产效率较差。
图6.筛砂石和土壤的木框筛

图7.BB肥生产中使用的原料筛

在建筑工地中看到的框架筛是一种最典型固定筛,其通过在木框或金属框上铺设金属丝网并将筛面倾斜35-45°来筛分沙子(图6)。在肥料行业中,该类型筛网经常安装在BB肥混合装置前端投料口中,用于去除原料中的大块及杂物(图7)。
2.振动筛
这是一种在振动电机的作用下,筛面呈上下、水平、垂直或斜向移动的筛分机。根据物体颗粒大小、比重等因素,调节振动电机两端配重块的相位,进而调节筛体振动次数、振幅,从而有效筛分。由于它具有优异的分离效率和生产效率,以及减少筛网堵塞的效果,所以是应用最广泛的筛分机它也是化肥生产中应用最广泛的筛分机。
振动筛振动的基本形式是相对于筛面呈现圆、椭圆或直线运动(图8)。据介绍,具有圆或椭圆运动的振动筛分机适用于筛分肥料。
图8:振动筛的基本筛面振动图

圆周运动倾斜式振动筛(直线筛)多采用结构简单、故障少的偏心配重振动电机。振动产生的原理是将振动电机安装到筛网重心轴上,接通电源后,电机旋转带动偏心配重(重物)而产生震动力,进而带动筛面做圆形振动或椭圆形振动。根据电机数量分为单电机和双电机型。如图9所示,单电机型筛分机的结构概略如图9所示。
图9.单电机型振动筛(直线筛)结构示意图

由于单轴振动筛筛面振动是简单圆振动,而仅靠振动力不足以输送物体,所以筛面是倾斜的,根据倾斜角度调整筛面上物体的输送速度。在许多情况下,筛面的倾角设置为10~15°。图10为单电机振动筛(直线筛)的实际照片。
图10.肥料用单电机振动筛(直线筛)图片

为了增强振动筛的水平输送力,设计了一种双电机振动筛(根据筛框的尺寸构成,需要考虑动平衡及双电机放置的位置,以形成振筛振动力及防止损伤框架结构)。其结构如图11所示。筛分机上设置有两个振动电机。由于电机的旋转方向彼此相反,但旋转速度相同,运动产生的合力将筛面向前做椭圆形振动。因此双电机振动筛不需要倾斜安装筛面,但是为了灵活适应一些工况,一些此类型振动筛具有调节筛面倾斜角的功能,可以设定一定程度的倾斜角,以便通过改善物体在筛面上的流动来提高生产效率.
图11.双振动电机振动筛(直线筛)结构示意图

图12.双振动电机型振动筛(直线筛)机照片

3.旋转筛
该设备呈现圆柱形、圆锥形或多边形的空心圆柱体,在其圆周上布满筛网,筒体就成了一个单筛。筒体与水平面成8~20°角安装,电机沿轴线转动筒体。送入筒体的物料由于筛子的旋转,在筛面上呈螺旋状向前滚动,小颗粒通过网眼,排出筒体,作为筛下物料被收集起来。不能通过筛网的大颗粒和团块作为筛分料从筒体前端排出。当筛体反向旋转时,被卡在网眼里的颗粒又在重力和振动的作用下落入圆筒中。通常情况下,旋转筛网区分为两到三个区域,近料端为小孔径的钢丝网,出口端为大孔经的钢丝网。当输入物体通过小孔经区域时,细颗粒被分离,当它通过大孔经区域时,粗颗粒被分离。剩余的大颗粒或块状物不能通过钢丝网,由筛子出口排出。筛分机构如图13所示,结构轮廓如图14所示。
图13.旋振筛的筛分结构

图14:旋转筛的结构示意图

旋筛结构简单,耗电少,对颗粒冲击小,分离效率和生产效率好,还有减轻筛网堵塞的功效,多用于肥料筛分。用于肥料的旋转筛的实物照片如图15所示。
图15:肥料用旋转筛(滚筒筛)的照片

注:上图选自网络图片
4.旋振筛
筛面通过电机或电磁铁在二维或三维空间内转动。根据筛面的运动路径,可分为直线往复运动、圆周运动和复合运动。通过筛面的摆动,颗粒滚动并通过网眼。期间颗粒几乎无下落运动,因此对颗粒冲击力小,特别适合脆性颗粒分离。
图16是以往复方式进行直线运动的平面回旋筛分机的结构轮廓。电机带动拨动连杆的偏心轴旋转。作为传动机构,电机通过传动皮带、皮带轮带动拨动连杆的偏心轴旋转。拨动连杆将旋转力转化为水平滑动力,使筛面直线往复。图17所示为实际的平面回旋筛分机的照片。
图16:平面回旋筛的结构简图

图17:平面回旋筛的实物照片

平面直线往复型的回旋筛与振动筛相比,由于分离效率和生产效率较差,目前已基本被淘汰。
图18:旋振筛结构概要

旋振筛的筛面为圆形,由电机、偏心转轴和弹簧组合而成。电机、偏心转轴和弹簧的组合,使筛分机作二维旋转运动.通过调整偏心转轴的相位和弹簧的位置,筛子不仅可以进行圆周运动,还可以进行筛子左右摆动的立体运动。进料物体从筛面中心向边缘侧滚动,同时以螺旋运动方式旋转,并通过筛网。此种震动方式对颗粒的冲击力非常小,适合分离脆性颗粒。分类精度高,最适合高附加值产品的分类。但缺点是规模难以扩大,分离效率和生产效率都要逊色一些。它常用于药品和食品的筛分。图18和图19是结构的轮廓和实际产品的照片。
图19.圆形三维多级回旋筛的照片

图20.旋振筛工作原理照片

四、筛分过程中的注意事项
与其他物体不同的是,造粒用肥料颗粒具有以下特点。
(1)除特殊情况外,化肥粒径一般小于10mm,没有非常大的颗粒,颗粒大小均匀。
(2)颗粒干燥,含水量低。
(3)硬度较低,因受到强烈冲击而粉化。
因此,造粒后的肥料颗粒筛分需要注意以下几点:
1、筛分机的选择和设置
当需要筛分的物料量大,生产效率要求高时,选择直线筛为好。当需要筛分的物料量较少,且要求分离效率高时,可选择旋转筛(滚筒筛)为好。
使用振动筛分机时,如果将筛面的振动频率提高,振幅减小,有利于提高生产效率,抑制颗粒粉化。在使用旋转筛(滚筒筛)时,如果控制转速,生产效率会降低,但分离精度会提高。
2.筛面倾角
筛面与水平面的倾角越大,物体通过筛面的速度越快,生产效率越高。但筛面倾角越大,物体在筛面上的停留时间越短,分离精度越低。筛面的最佳倾角应根据实验结果和现场经验确定。
3.投料量和投料对象的均匀性
物体的投入量越小,沉积在筛面上的物体层越薄,颗粒与筛孔接触的机会越多,分离效率越高,但生产效率越低。另一方面,当投入量过大时,沉积在筛面上的料层变厚,堵塞筛孔,导致分离效率变差,生产效率降低。根据出料端的筛网上残留的筛层厚度,可以估算出合适的物体输入量。
肥料用振动筛通常由两级筛网组成,各自筛网孔径不同。通过大孔经上层筛网而没有透过小孔经的下层筛网的颗粒视为产品。测量在排出端的下部筛网中用作产品的筛上材料层的厚度,并将其除以筛网开口尺寸,以计算与筛网孔经的比率倍数δ,δ≤1表示出料端成品厚度小于筛孔径,所有颗粒都与筛面接触。但是,生产效率很低。相反,当δ≥1时,出料端筛分物料的厚度大于筛孔经,完全挡住了筛面,筛上一些颗粒可能不会与筛面接触,而直接排出。通常情况下,对于化肥颗粒的筛分,δ应设置为3~5,如果标准要求宽松,δ可设置为5~10。
而在旋转筛中,出料端的筛上物为超大粒径颗粒,其δ不能作为参考。通常,测量在圆柱形后端具有小孔的筛网和在前端具有大孔的筛网之间的边界,即,当第一级细颗粒的筛分完成时残留在筛分表面上的筛上材料层厚度,并且设置δ为3~10。
如果确定了最佳δ值,就可以用下式计算出对象的投入量:

Wof:筛子处理能力(kg/h),Dp:颗粒粒径(m),p:颗粒密度(kg/m3),μ:颗粒在筛面上的移动速度(m/h),δ:排出端的筛上材料的厚度/筛孔,B:筛面的宽度(m)。
将作为筛下物料的细颗粒收集量(kg/h)和过大颗粒量(kg/h)加到按上述公式计算的Wof上,就可以得到单位时间内的筛分能力,并据此设定给料量和给料速度。另一方面,将物体均匀地投入筛分机也是重要的。均匀投料的意义在于,单位时间内的投料量不只是均匀考虑,也是按照筛面的宽度均匀分布的方式投料。因此,整个筛面总是在稳定状态下工作,并且可以保持良好的生产效率和分离效率。
4.预防堵塞
筛网堵塞对生产效率有很大影响。引起堵塞的原因多种多样,现将常见的堵塞类型、原因及对策总结如下。
4-1.刺穿
现象:颗粒多点与筛网铁丝接触,刺穿筛网。
原因:颗粒直径接近筛孔孔径。
对策:
(1)在振动筛上,增加筛面的振动宽度,使颗粒不刺破筛网。
(2)在旋转的滚筒(旋转筛或滚筒筛)上安装一个拍打装置或橡胶锤,定期给筛机表面以强烈的撞击振动,释放卡住的颗粒。
(3)将筛孔改为矩形网口,以减少颗粒的粘附。
(4)适当调整网面张力,加强对颗粒的排斥力。
(5)将金属网改为合成树脂网
4-2.黏附
症状:细粉形成块状,粘附在筛孔边角或网框边缘。
原因:物体水分含量高或静电影响。
对策:
(1)在振动筛上,加大筛面的振动宽度,以甩掉粘附在筛面上的细粉团。
(2)在旋转筛(滚筒筛)圆筒上安装一个拍打装置或击锤,不时给筛分机表面以强烈的振动,以释放附着的细粉团。
(3)事先安装气吹装置吹掉细粉。
(4)将材料充分干燥,降低含水量。
(5)涂抹橡胶衬里。
(6)安装接地线,释放静电。
4-3.卡住
现象:金属丝或纤维状物挂在筛面上,阻碍颗粒通过。
原因:物体中混入了铁丝或纤维状异物。
对策:
(1)在目标物料斗上设置孔经较大固定筛,清除异物;
(2)在筛机投料端增设带梳齿状筛网,以清除异物。
(3)定期刷洗筛面,清除纤维状异物
-------------------------------------------------------------------------------------
原文选自外文网站技术文章!
由于作者翻译能力所限,文中尚有不足及不完善的地方,敬请谅解。也请您及时提出,以便作者能够及时补充修订!
谢谢大家!
2020年2月5日